El mundo entero se aparta cuando ve pasar a un hombre que sabe a dónde va.
Antoine de Saint-Exupery. Autor de «El Principito»
Hay ciertas personas, ideas o lugares, hacia los que inevitablemente te sientes súper atraído. Me refiero a esa sensación de bienestar que tienes cuando llegas al pueblo donde nacieron tus abuelos. No sabes muy bien por qué regresas una y otra vez, pero cuando llegas allí sientes que estás en casa, y, en el fondo, sabes que pasarás tus últimos días en ese lugar.
A mi me ocurre cuando voy a una cuneta a ver pasar una carrera ciclista. Pienso en el esfuerzo que hacen los corredores, en cómo se dejan el alma por llegar a la meta en el mejor puesto, y me recuerda a cómo he peleado por sacar mis proyectos adelante. Cómo no voy a apoyar a alguien que está dando el cien por cien de lo que tiene dentro, si creo que esa es la verdadera raíz de la felicidad.
También pienso en cómo me gustaba sentirme animado cuando yo competía en carreteras perdidas de la mano de Dios. En esos momentos en los que no tenía fuerzas para dar más pedales y dudaba de si merecía la pena pasar tanto sufrimiento lejos de casa, escuchar en una curva los ánimos de un extraño – a quien probablemente nunca más iba a volver a ver -, me daba alas para continuar empujando. Me hacía creer que todas aquellas penurias no eran en vano.
Con Fibonacci también sentí esa «química» en cuanto lo conocí gracias a David Galán, el formador de trading al que me enganché cuando era poco más que un adolescente. Veía todos sus seminarios de Youtube en directo (y eso que algunos duraban más de 2 horas), me apunté a su centro de traders, y cuando supe que vendría a dar una conferencia a Madrid, me inscribí sin dudarlo ni un instante. Por ver a mi ídolo en directo hubiera dado lo que fuera.
David Galán fue pionero introduciendo los retrocesos Fibonacci en España, nadie más los utilizaba. Me alucinaba la pasión con la que transmitía su conocimiento, y en lugar de explicarlo haciendo ver que él sabía mucho y los demás muy poco, lo contaba tan fácil que hasta un niño podía entenderlo. Y lo mejor es que parecía magia, porque una y otra vez el precio cumplía los movimientos que él había vaticinado.
Tener un gráfico en blanco era como estar perdido en mitad del desierto, a varios kilómetros de la civilización, sin comida ni agua. Al poner los retrocesos de Fibonacci aparecía una mochila con una cantimplora llena, un par de barritas energéticas y un mapa que marcaba el camino al pueblo más cercano. Era ver la luz al final del túnel, el mismo flotador al que se agarró Rose para salvar su vida con el Titanic naufragando.
Así eran los seminarios de Youtube de David Galán, se los pasaba explicando los movimientos técnicos y los objetivos que el precio marcaba a futuro. Cuando un objetivo se cumplía siempre decía: «Objetivo Ok, análisis cumplido».
¿Quién era Fibonacci?
El verdadero nombre de este matemático italiano no era Fibonacci, se llamaba Leonardo da Pisa. No se sabe con exactitud cuando nació ni cuando murió, pero se cree que debió vivir unos 70 años, entre las décadas de 1170 y 1240. Era originario de la República de Pisa, en una época en la que la actual Italia estaba dividida en Ducados, Condados, Principados, Ciudades-Estado y otras formas de organización independientes.
El apodo le viene de su padre, Guglielmo, a quien conocían como Bonacci, que significa bonachón. La etimología de Fibonacci es «Filius Bonacci», que en latín quiere decir «hijo de Bonacci». Podemos concluir que Bonacci era funcionario, ya que en el epitafio de Michele Scoto es nombrado como «Publicus scriba pro pisanis mercatoribus», es decir, representante de los mercaderes de Pisa.
Bonacci estuvo destinado en África, en el puerto de Bugía, uno de los más prósperos del mediterráneo en aquella época. En las largas estancias que pasaba fuera de casa su hijo le acompañaba, y fue allí, tratando con los mercaderes sirios, egipcios y sicilianos, donde Fibonacci conoció el sistema numérico árabe, muy avanzado respecto al sistema de numeración romano. Una vez que regresó a Italia publicó varios libros en los que transmitía este valioso conocimiento, y que cambiarían para siempre la forma de entender los números en Europa.
La atracción difícil de explicar que sentía por Fibonacci
Construí esta academia para facilitarle la vida a traders pequeñitos que lo están pasando mal en su relación con el mercado y no terminan de ver la luz. Bueno, te voy a ser sincero. En el fondo lo hice porque me acordaba de mi «yo» adolescente, el mismo a quien el mercado le pegó una bofetada tras otra y a quien nadie ayudó ni le dio valiosos consejos que le hubieran ahorrado muchos disgustos y varios miles de euros.
Por eso tienes a golpe de click un sistema que funciona, sin tonterías, con reglas claras para entrar y tomar los beneficios. Eso, junto con mi experiencia de más de una década peleándome en los centros financieros más importantes del país. Así podrás cambiar el rumbo de tu operativa cuanto antes y empezar a cerrar mes tras mes en positivo.
Ese fue el «por qué», el motivo por el que este sitio web es una realidad. Los números de Fibonacci fueron el «cómo». La manera de alcanzar la meta.
Mira, nunca pensé que Fibonacci iba a ser una de las piezas clave del sistema, no lo tenía premeditado. Me salió natural darle tanta importancia porque fui encajando todo lo que ya sabía sobre mercados y Fibonacci aparecía en la ecuación una y otra vez. Era como si tuviera el fregadero averiado y estuviera llamando a mi puerta el fontanero, sólo tenía que abrirle para solucionar el problema.
Tanto en la apertura como en el cierre de las operaciones, el retroceso Fibonacci es fundamental para tomar la decisión. Si mañana la plataforma me quitara los retrocesos, me costaría una barbaridad generar trades positivas, estaría súper perdido. Para mi son la guía perfecta.
Y esto no es postureo para presumir de que trabajo con herramientas complicadas, qué va. De hecho, en este otro post ya te dije que cuantas menos cosas tengas en un gráfico, mucho mejor, porque más claro vas a ver el panorama y menos te vas a equivocar. Un retroceso Fibonacci da una interpretación sencilla de cómo funciona el mercado, y con añadirle uno o dos complementos es más que suficiente.
Pero en este artículo no quiero entrar en aspectos técnicos como impulsos, indicadores o programas informáticos, no. Lo que te quiero contar ahora es el verdadero motivo por el que me sentí fascinado por Fibonacci desde el principio. Era algo mucho más profundo de lo que a simple vista puede parecer.
Con Fibonacci tengo en común el haber pasado largas estancias fuera de casa ayudando a mi padre en el trabajo. Él, Bernardo Mazón, fue ciclista profesional a finales de los años 80 y principios de los 90. Corrió, entre otros equipos, en el Teka, el que era considerado por muchos como el mejor equipo del mundo.
Después de colgar la bicicleta empezó un negocio de cronometraje electrónico para los eventos deportivos. Fue el primero en introducir en España las máquinas de Foto-Finish. Son esas cámaras de alta precisión que definen en las llegadas ajustadas quién ha sido el vencedor, aunque sólo sea por unos milímetros.
Una foto-finish en la Vuelta a Asturias 2024, en la llegada de Ribadesella. Si no fuera por las líneas rojas, ¿sabrías decir quién quedó tercero y cuarto?
Cuando yo dejé de competir en bicicleta comencé a ayudarle en todas las carreras que podía, prácticamente cada fin de semana. Para mí ir a los eventos siempre ha sido una fiesta más que un trabajo, porque he conocido sitios a los que jamás hubiera ido. Además, en lugar de pagar por viajar, ¡he tenido la suerte de viajar y que me pagaran!
El sitio más exótico en el que hemos estado ha sido Turquía, recuerdo una meta que me dejó impactado en la ciudad abandonada en ruinas de Efesus, parecía que los habitantes habían salido corriendo de allí de un día para otro, porque algunos edificios como la biblioteca, el templo o el anfiteatro permanecen casi intactos. La otra línea de meta que jamás olvidaré fue la del lugar que, según varias versiones, eligió la Virgen María para morir después de haber escapado de Jerusalén por la persecución a los cristianos. Fue súper emocionante entrar en un sitio en el que notas unas vibraciones más elevadas que las del resto de lugares.
Por eso puedo imaginar cómo se sentía Fibonacci en aquellas estancias en África acompañando a su padre. Son episodios de la vida que se te quedan grabados para siempre, y que te unen mucho más con la persona que quieres que cualquier otra experiencia superficial. Aunque nos separan 800 años en el tiempo, en ese aspecto estoy conectado con él.
Aquí estamos mi padre, Bernardo Mazón, y yo, Enrique Bernardo Mazón, en el Tour de Turquía. Fueron 8 días de competición fascinantes descubriendo Turquía.
Fibonacci regresó a Italia y en 1202 publicó Liber Abaci (el libro del cálculo)
Después de aquellas estancias en Bugía en las que se empapó del sistema de numeración árabe, en este libro quiso destacar las ventajas que había descubierto. Pero no lo hizo de un modo teórico difícil de comprender para la gente, sino que puso ejemplos para que cualquiera pudiera utilizarlo en su día a día. En la sección 2 mostraba cómo aplicar estos números en el comercio, la contabilidad, los intereses, las medidas o la conversión de divisas.
Una consecuencia natural de estos avances fue que el ábaco quedó en desuso. Con las modernas enseñanzas de Fibonacci este rudimentario instrumento dejó de ser necesario para hacer los cálculos. Se abría el paso a una nueva época.
De los 15 capítulos de Liber Abaci estas son las 3 aportaciones más relevantes:
#1. Introdujo el sistema decimal y el número cero
Cito frase literal extraída de Liber Abaci:
Novem figure indorum he sunt 9 8 7 6 5 4 3 2 1
Está describiendo los números decimales. Del uno al diez. Y las llama las cifras de los indios:
«Las nueve cifras de los indios son 9 8 7 6 5 4 3 2 1»
#2 Habla del número cero (zephirum), desconocido hasta entonces
Cum his itaque novem figuris, et cum hog signo 0, quod arabice zephirum apellatur, scribitur quilibet numerus, ut inferus demostratur
Lo que quiere decir:
«Con estas nueve figuras y con este signo 0, que en árabe se llama zephirum, se puede representar cualquier número, como demostraremos»
#3. El mínimo común múltiplo (división por tentativa), problemas exóticos e influencias de reputados autores
En sección 1 aparece la primera descripción conocida de la división por tentativa, que consiste en comprobar si un número es compuesto, y si lo es, factorizarlo. Es la técnica que se aprende hoy en día en la educación primaria, y que abreviamos como m.c.m, el mínimo común múltiplo. Ya sabes quién fue el causante de que tú la hayas aprendido en la escuela.
En la sección 3 hay complejos problemas como el teorema chino del resto, los números perfectos y los primos de Mersenne, así como fórmulas para progresiones aritméticas y para números piramidales cuadrados. Aunque el problema más conocido es el que describe el crecimiento de una población de conejos, del que te hablaré justo ahora. Ese fue el origen de la sucesión de Fibonacci.
Además, el libro incluye demostraciones sobre la geometría euclidiana. El método de Fibonacci de resolución de ecuaciones algebraicas muestra la influencia del matemático egipcio del siglo décimo Abu Kamil, también conocido como «El calculista egipcio». Este hombre fue el primero en utilizar y aceptar sistemáticamente números irracionales como soluciones y coeficientes de ecuaciones.
A ver, háblame del problema de los conejos, que quiero saber cuál es el origen de la sucesión Fibonacci
El enunciado de este dilema dice tal que así:
Suponte que un hombre puso una pareja de conejos en una habitación de donde no pueden salir.
¿Cuántas parejas de conejos pueden producirse en un año a partir de esa pareja si…
cada pareja de conejos procrea una nueva pareja macho y hembra al mes,
y la nueva pareja es fértil a partir del segundo mes?
El resultado del problema es: 1, 1, 2, 3, 5, 8, 13, 21, 34, 55…
¿Te suena de algo la sucesión?
Efectivamente, es la archiconocida secuencia Fibonacci, que aparece en tratados científicos, en formas salvajes de la naturaleza y, por supuesto, también en el trading.
El ejercicio de los conejos que propuso Fibonacci en Liber Abaci, y cuyo resultado es la famosa sucesión
La obra de Fibonacci continuó en 1220 con Práctica Geometriae, una de las obras científicas más importantes de la época
Son 8 capítulos de problemas geométricos en los que expuso la forma de calcular el área en distintas figuras como el pentágono, el octógono y el decágono. También dio protagonismo a la medición del área en triángulos, como ya hizo Pitágoras 500 años antes del nacimiento de Cristo.
Al igual que en Liber Abaci, la información de este libro es eminentemente práctica. Fibonacci no sólo dio información teórica, sino que era un hombre comprometido con la sociedad. Trató de llevar la sabiduría a un plano práctico para que cualquiera pudiera beneficiarse del poder de los números.
Por ejemplo, describió una técnica para calcular la altura de objetos altos usando triángulos semejantes. Esto les serviría de ayuda a los exploradores en sus descubrimientos.

Fragmento de Liber Abaci conservado en la biblioteca nacional de Florencia. Por desgracia, no se conserva el manuscrito original escrito en 1202
Puedes generar operaciones de trading ganadoras
Llevándote GRATIS la Guía en la que descubrirás cómo sacar alegrías del mercado.
Sin promesas de rentabilidad imposibles de cumplir. Sin hacer Scalping. Sin que sea necesario un doctorado en trading algorítmico.
Solo ciencia y sentido común aplicada al mercado. Poniendo a tu favor la psicología de masas, explicando lo que casi nadie entiende sobre el comportamiento de la bolsa. Cómo he generado cientos de miles de euros, al descubierto aquí.
Al dejar tu correo, entras en mi base de datos. Vas a recibir un correo a la semana, como mínimo. Si esto te molesta, te puedes dar de baja cuando quieras.
Puedes generar operaciones de trading ganadoras
Llevándote GRATIS la Guía en la que descubrirás cómo sacar alegrías del mercado.
Sin promesas de rentabilidad imposibles de cumplir. Sin hacer Scalping. Sin que sea necesario un doctorado en trading algorítmico.
Solo ciencia y sentido común aplicada al mercado. Poniendo a tu favor la psicología de masas, explicando lo que casi nadie entiende sobre el comportamiento de la bolsa. Cómo he generado cientos de miles de euros, al descubierto aquí.
Al dejar tu correo, entras en mi base de datos. Vas a recibir un correo a la semana, como mínimo. Si esto te molesta, te puedes dar de baja cuando quieras.
El desafío matemático «imposible de resolver» que Fibonacci superó para acceder a la corte del emperador
Federico II había sido coronado Rey de Alemania en 1212 y en 1220 también fue coronado Sacro Emperador Romano Germánico, en una ceremonia oficiada por el Papa en la Basílica de San Pedro. En una época de continuos conflictos – Pisa pugnaba con Génova por el mar y Lucca luchaba contra Florencia en tierra – su misión era conseguir la paz en sus territorios. Debido a su mentalidad disruptiva con las tradiciones, el emperador Federico fue conocido como stupor mundi (asombro del mundo).
Federico II estaba rodeado de todo tipo de sabios: astrólogos, filosófos y también científicos. Entonces llegó a sus oídos la existencia de un genio matemático que vivía en Pisa. Aprovechando que visitaba la ciudad en el año 1225, pidió conocerle en persona.
Pero no iba a ser tan sencillo unirse a la corte del emperador romano, no. Antes, Fibonacci debía demostrar su valía resolviendo tres problemas que le planteó Johannes de Palermo, uno de los miembros más destacados de la séquito. El duelo para defender su honor estaba servido.
En el primer problema le pedían encontrar un número cuyo cuadrado, al sumarle o restarle cinco, dé otros cuadrados.
Este problema tiene trampa, porque puedes demostrar que la solución no es entera.
La única solución posible es una fracción. Un número racional.
Fibonacci no cayó en el engaño.
El segundo problema, extraído del libro de álgebra de Omar Khayyam, es una ecuación de tercer grado
Le pedían hallar x para la cual 10x + 2x^2 + x^3 = 20.
En la citada obra de Khayyam el problema está resuelto por medio de la intersección de un círculo y una hipérbola. Fibonacci debía valerse de los Elementos de Euclides para hallar la respuesta.
Nuestro matemático probó que la raíz de la ecuación no es ni un entero, ni una fracción ni la raíz cuadrada de una fracción.
Luego expuso:
«Y ya que no fue posible resolver esta ecuación de ninguna otra manera, trabajé para reducir la solución a una aproximación»
Sin explicar sus métodos, Fibonacci dio la solución aproximada en notación sexagesimal – la notación que se utiliza en astronomía – 1;22.7.42.33.4.40.
Por lo tanto, la solución definitiva es 1.3688081075, que es correcto hasta nueve cifras decimales.
Fue la mejor aproximación de una raíz irracional de una ecuación algebraica conseguida hasta el momento.
El tercer problema es la historia de tres hombres que se reparten al azar un capital
El primero aporta a un fondo común la mitad de su porción, el segundo un tercio y el tercero un sexto.
Después hacen con el fondo tres partes iguales, y cada cual toma una para sí.
¿Cuánto recibió cada uno en el primer reparto, si la cantidad final fue, para el primero, la mitad del capital inicial, para el segundo la tercera parte y para el tercero la sexta parte?
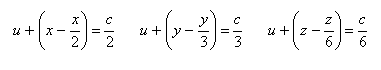
Leonardo tomó como incógnita auxiliar u, una de las tres partes en que se dividió el fondo formado por las fracciones de las partes tomadas al azar.
Si éstas son x, y y z, y el capital total es c, tenemos las ecuaciones:
La solución entera más pequeña es u = 7 , c = 47 , x = 33, y = 13 y z = 1
Dejó por escrito las soluciones del reto en un nuevo libro, que envió al emperador Federico II
Ese mismo año Fibonacci publicó «Flos super solutionibus quarumdam questionum ad numerum et ad geometricam pertinentium».
Lo que traducido quiere decir «Flores sobre la solución de ciertas cuestiones relativas a los números y a la geometría».
Con este libro daba un puñetazo en la mesa, ya que aparecían las soluciones de los tres famosos problemas con los que Johannes de Palermo le había desafiado. Era la demostración de su valía para ganarse la confianza del monarca. Ya no tenía ningún impedimento para acceder a la corte.
En el libro también expuso otros 12 problemas con sus correspondientes soluciones.
El más destacado es uno en el que alcanzó dos soluciones válidas: una con signo positivo y otra con signo negativo. Leonardo lo interpretó como dinero poseído o debido.
Fue la primera vez que en Occidente aparecieron los números negativos entendidos como deudas.
Una vez superado el reto de Johannes de Palermo, siguió estudiando matemáticas y divulgando el conocimiento entre los suyos
En 1225 publicó su último libro, «Liber quadratorum» (el libro de los cuadrados). Para muchos es considerada la pieza más impresionante de su obra, aunque no fuera la que le hizo famoso. En ella teoriza sobre los números 10 y, entre otras cosas, examinaba los métodos para encontrar los triples Pitagóricos.
Después se dedicó plenamente a las matemáticas, siendo el intelectual de referencia en su región. Sabemos que esto sucedió porque hay un decreto que se conserva en el Archivo Estatal de Pisa, y que fue publicado entre el año 1233 y el 1241. En este edicto el pueblo de Pisa le otorgaba un sueldo a cambio de sus servicios.
«El maestro Leonardo Bigollo» (Fibonaci) era el receptor de dicho salario:
Considerando el honor y provecho de nuestra ciudad y de nuestros ciudadanos, que se derivan de la doctrina y diligentes servicios del discreto y sabio maestro Leonardo Bigollo en las estimaciones y ábacos de razones necesarias para la ciudad y sus funcionarios, y en otras cosas cuando sea necesario,
Resuelvo que el propio Leonardo, por su dedicación y ciencia y como recompensa por el trabajo que realiza para estudiar y determinar las estimaciones y razones antes mencionadas, reciba veinte liras como salario del municipio y del tesoro público o salario anual, además de los beneficios habituales,
y también que el mismo sirva como de costumbre al municipio pisano y a sus funcionarios en las prácticas del ábaco»
Para ir acabando el post te voy a dar una recomendación turística. Si alguna vez viajas a Pisa, la ciudad de Fibonacci, hay un sitio que no te puedes perder. Es el Lungarni que el pueblo de Pisa le ha dedicado, situado entre el puente de la Victoria y el puente de la Fortaleza.
Los lungarnis son las calles de Pisa que discurren al lado del río que la atraviesa, el río Arno. Hace siglos, los lados del río Arno eran el corazón de la ciudad, por lo que muchas familias de prestigio escogieron esta zona para establecer sus residencias. Los lungarnis son conocidos en Pisa por los edificios majestuosos construidos a lo largo de la ribera, llegando hasta las afueras en Marina de Pisa.
Este lungarni en concreto se llama «Leonardo Fibonacci».

Lungarni en Pisa, a las orillas del río Arno
El número Fibonacci aparece en la naturaleza. Y, por lo tanto, también en el trading
Al principio del artículo te he comentado que los retrocesos Fibonacci te pueden servir de gran ayuda en tu operativa (si los utilizas bien, claro). Esto no es por casualidad, es porque la cifra Fibonacci aparece en la naturaleza una y otra vez. Si rebuscas un poco en Google enseguida la encontrarás en las dimensiones de las caracolas, en las de tu propia oreja, en las de la Mona Lisa… ¡hasta en cómo está construido el Universo!
Por eso el número Fibonacci también está presente en el mercado, porque cuando los precios se mueven arriba y abajo no hay ninguna intervención. Un gráfico es la naturaleza de las emociones humanas en su máxima expresión. Ahí nadie finge nada, es lo que es.
En este post sobre el genio de Pisa quería mostrarte su historia, porque a mi me pareció fascinante. Ahora toca ir un paso más allá y pasar a la acción. Para ello te invito a entrar en la Comunidad de Academia de Trading, donde Fibonacci va a ser uno de los grandes protagonistas de aquí en adelante:
Puedes generar operaciones de trading ganadoras
Llevándote GRATIS la Guía en la que descubrirás cómo sacar alegrías del mercado.
Sin promesas de rentabilidad imposibles de cumplir. Sin hacer Scalping. Sin que sea necesario un doctorado en trading algorítmico.
Solo ciencia y sentido común aplicada al mercado. Poniendo a tu favor la psicología de masas, explicando lo que casi nadie entiende sobre el comportamiento de la bolsa. Cómo he generado cientos de miles de euros, al descubierto aquí.
Al dejar tu correo, entras en mi base de datos. Vas a recibir un correo a la semana, como mínimo. Si esto te molesta, te puedes dar de baja cuando quieras.
Puedes generar operaciones de trading ganadoras
Llevándote GRATIS la Guía en la que descubrirás cómo sacar alegrías del mercado.
Sin promesas de rentabilidad imposibles de cumplir. Sin hacer Scalping. Sin que sea necesario un doctorado en trading algorítmico.
Solo ciencia y sentido común aplicada al mercado. Poniendo a tu favor la psicología de masas, explicando lo que casi nadie entiende sobre el comportamiento de la bolsa. Cómo he generado cientos de miles de euros, al descubierto aquí.
Al dejar tu correo, entras en mi base de datos. Vas a recibir un correo a la semana, como mínimo. Si esto te molesta, te puedes dar de baja cuando quieras.
PD. Trabajando en los eventos deportivos con mi padre he vivido alguno de los momentos más felices de mi vida. En ésta entrevista que me hizo el periódico turco TRT Spor Yıldız, en el Tour de Turquía de 2023, creo que proyecto la plenitud que sentía en ese momento. En aquella carrera descubrí la antigua ciudad abandonada de Ephesus, visité el refugio al que huyó la virgen María tras salir de Jerusalén por la persecución a los cristianos, y la última etapa transcurrió en la mágica ciudad de Estambul.
Puedes generar operaciones de trading ganadoras
Llevándote GRATIS la Guía en la que descubrirás cómo sacar alegrías del mercado.
Sin promesas de rentabilidad imposibles de cumplir. Sin hacer Scalping. Sin que sea necesario un doctorado en trading algorítmico.
Solo ciencia y sentido común aplicada al mercado. Poniendo a tu favor la psicología de masas, explicando lo que casi nadie entiende sobre el comportamiento de la bolsa. Cómo he generado cientos de miles de euros, al descubierto aquí.
Al dejar tu correo, entras en mi base de datos. Vas a recibir un correo a la semana, como mínimo. Si esto te molesta, te puedes dar de baja cuando quieras.



